Ibrutinib-biotin

别名: Ibrutinib-biotin; 依鲁替尼-生物素
目录号: V32537 纯度: ≥98%
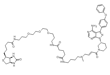
Ibrutinib-biotin 是一种新型化学探针,由 BTK 抑制剂 Ibrutinib 通过长链连接子与生物素连接而成,对 BTK 的 IC50 为 0.755-1.02 nM。
Ibrutinib-biotin CAS号: 1599432-18-4
产品类别: New1
产品仅用于科学研究,不针对患者销售
规格 价格 库存 数量
1mg
5mg
10mg
Other Sizes
点击了解更多
  • 与全球5000+客户建立关系
  • 覆盖全球主要大学、医院、科研院所、生物/制药公司等
  • 产品被大量CNS顶刊文章引用
InvivoChem产品被CNS等顶刊论文引用
产品描述
Ibrutinib-biotin 是一种新型化学探针,由 BTK 抑制剂 Ibrutinib 通过长链连接子与生物素连接而成,对 BTK 的 IC50 为 0.755-1.02 nM。
生物活性&实验参考方法
体外研究 (In Vitro)
依鲁替尼-生物素(化合物 1-5)是由依鲁替尼通过长接头与生物素连接组成的成分。依鲁替尼是 TEC 系列拓扑结构。 TEC家族由五个成员组成,TEC、BTK、ITK/EMT/TSK、BMX和TXK/RLK。 TEC 家族参与磷酸酪氨酸介导和磷脂介导的信号传导机制。许多TEC家族成员在造血组织中广泛表达,在血细胞的发育和保湿中发挥着至关重要的作用[1]。
参考文献

[1]. Companion diagnostics for tec family kinase inhibitor therapy. WO 2014059368 A1.

*注: 文献方法仅供参考, InvivoChem并未独立验证这些方法的准确性
化学信息 & 存储运输条件
分子式
C56H80N12O9S
分子量
1097.3744
精确质量
1096.589
CAS号
1599432-18-4
PubChem CID
73507493
外观&性状
White to off-white solid powder
LogP
3
tPSA
284
氢键供体(HBD)数目
6
氢键受体(HBA)数目
15
可旋转键数目(RBC)
35
重原子数目
78
分子复杂度/Complexity
1830
定义原子立体中心数目
4
SMILES
S1C([H])([H])[C@@]2([H])[C@@]([H])([C@]1([H])C([H])([H])C([H])([H])C([H])([H])C([H])([H])C(N([H])C([H])([H])C([H])([H])C([H])([H])OC([H])([H])C([H])([H])OC([H])([H])C([H])([H])OC([H])([H])C([H])([H])C([H])([H])N([H])C(C([H])([H])C([H])([H])C([H])([H])C(N([H])C([H])([H])C([H])([H])C([H])([H])C([H])([H])N(C([H])([H])[H])C([H])([H])/C(/[H])=C(\[H])/C(N1C([H])([H])C([H])([H])C([H])([H])[C@]([H])(C1([H])[H])N1C3C(=C(N([H])[H])N=C([H])N=3)C(C3C([H])=C([H])C(=C([H])C=3[H])OC3C([H])=C([H])C([H])=C([H])C=3[H])=N1)=O)=O)=O)=O)N([H])C(N2[H])=O
InChi Key
MZBZKVGVMZPBPH-AQXPWDSUSA-N
InChi Code
InChI=1S/C56H80N12O9S/c1-66(30-11-21-50(72)67-31-10-14-42(38-67)68-55-51(54(57)61-40-62-55)52(65-68)41-22-24-44(25-23-41)77-43-15-3-2-4-16-43)29-8-7-26-58-48(70)19-9-20-49(71)60-28-13-33-75-35-37-76-36-34-74-32-12-27-59-47(69)18-6-5-17-46-53-45(39-78-46)63-56(73)64-53/h2-4,11,15-16,21-25,40,42,45-46,53H,5-10,12-14,17-20,26-39H2,1H3,(H,58,70)(H,59,69)(H,60,71)(H2,57,61,62)(H2,63,64,73)/b21-11+/t42-,45+,46+,53+/m1/s1
化学名
N'-[3-[2-[2-[3-[5-[(3aS,4S,6aR)-2-oxo-1,3,3a,4,6,6a-hexahydrothieno[3,4-d]imidazol-4-yl]pentanoylamino]propoxy]ethoxy]ethoxy]propyl]-N-[4-[[(E)-4-[(3R)-3-[4-amino-3-(4-phenoxyphenyl)pyrazolo[3,4-d]pyrimidin-1-yl]piperidin-1-yl]-4-oxobut-2-enyl]-methylamino]butyl]pentanediamide
HS Tariff Code
2934.99.9001
存储方式

Powder      -20°C    3 years

                     4°C     2 years

In solvent   -80°C    6 months

                  -20°C    1 month

运输条件
Room temperature (This product is stable at ambient temperature for a few days during ordinary shipping and time spent in Customs)
溶解度数据
溶解度 (体外实验)
DMSO : ~50 mg/mL (~45.56 mM)
溶解度 (体内实验)
配方 1 中的溶解度: ≥ 2.5 mg/mL (2.28 mM) (饱和度未知) in 10% DMSO + 40% PEG300 + 5% Tween80 + 45% Saline (这些助溶剂从左到右依次添加,逐一添加), 澄清溶液。
例如,若需制备1 mL的工作液,可将100 μL 25.0 mg/mL澄清DMSO储备液加入到400 μL PEG300中,混匀;然后向上述溶液中加入50 μL Tween-80,混匀;加入450 μL生理盐水定容至1 mL。
*生理盐水的制备:将 0.9 g 氯化钠溶解在 100 mL ddH₂O中,得到澄清溶液。

配方 2 中的溶解度: ≥ 2.5 mg/mL (2.28 mM) (饱和度未知) in 10% DMSO + 90% (20% SBE-β-CD in Saline) (这些助溶剂从左到右依次添加,逐一添加), 澄清溶液。
例如,若需制备1 mL的工作液,可将 100 μL 25.0 mg/mL澄清DMSO储备液加入900 μL 20% SBE-β-CD生理盐水溶液中,混匀。
*20% SBE-β-CD 生理盐水溶液的制备(4°C,1 周):将 2 g SBE-β-CD 溶解于 10 mL 生理盐水中,得到澄清溶液。

View More

配方 3 中的溶解度: ≥ 2.5 mg/mL (2.28 mM) (饱和度未知) in 10% DMSO + 90% Corn Oil (这些助溶剂从左到右依次添加,逐一添加), 澄清溶液。
例如,若需制备1 mL的工作液,可将 100 μL 25.0 mg/mL 澄清 DMSO 储备液加入到 900 μL 玉米油中并混合均匀。


请根据您的实验动物和给药方式选择适当的溶解配方/方案:
1、请先配制澄清的储备液(如:用DMSO配置50 或 100 mg/mL母液(储备液));
2、取适量母液,按从左到右的顺序依次添加助溶剂,澄清后再加入下一助溶剂。以 下列配方为例说明 (注意此配方只用于说明,并不一定代表此产品 的实际溶解配方):
10% DMSO → 40% PEG300 → 5% Tween-80 → 45% ddH2O (或 saline);
假设最终工作液的体积为 1 mL, 浓度为5 mg/mL: 取 100 μL 50 mg/mL 的澄清 DMSO 储备液加到 400 μL PEG300 中,混合均匀/澄清;向上述体系中加入50 μL Tween-80,混合均匀/澄清;然后继续加入450 μL ddH2O (或 saline)定容至 1 mL;

3、溶剂前显示的百分比是指该溶剂在最终溶液/工作液中的体积所占比例;
4、 如产品在配制过程中出现沉淀/析出,可通过加热(≤50℃)或超声的方式助溶;
5、为保证最佳实验结果,工作液请现配现用!
6、如不确定怎么将母液配置成体内动物实验的工作液,请查看说明书或联系我们;
7、 以上所有助溶剂都可在 Invivochem.cn网站购买。
制备储备液 1 mg 5 mg 10 mg
1 mM 0.9113 mL 4.5563 mL 9.1127 mL
5 mM 0.1823 mL 0.9113 mL 1.8225 mL
10 mM 0.0911 mL 0.4556 mL 0.9113 mL

1、根据实验需要选择合适的溶剂配制储备液 (母液):对于大多数产品,InvivoChem推荐用DMSO配置母液 (比如:5、10、20mM或者10、20、50 mg/mL浓度),个别水溶性高的产品可直接溶于水。产品在DMSO 、水或其他溶剂中的具体溶解度详见上”溶解度 (体外)”部分;

2、如果您找不到您想要的溶解度信息,或者很难将产品溶解在溶液中,请联系我们;

3、建议使用下列计算器进行相关计算(摩尔浓度计算器、稀释计算器、分子量计算器、重组计算器等);

4、母液配好之后,将其分装到常规用量,并储存在-20°C或-80°C,尽量减少反复冻融循环。

计算器

摩尔浓度计算器可计算特定溶液所需的质量、体积/浓度,具体如下:

  • 计算制备已知体积和浓度的溶液所需的化合物的质量
  • 计算将已知质量的化合物溶解到所需浓度所需的溶液体积
  • 计算特定体积中已知质量的化合物产生的溶液的浓度
使用摩尔浓度计算器计算摩尔浓度的示例如下所示:
假如化合物的分子量为350.26 g/mol,在5mL DMSO中制备10mM储备液所需的化合物的质量是多少?
  • 在分子量(MW)框中输入350.26
  • 在“浓度”框中输入10,然后选择正确的单位(mM)
  • 在“体积”框中输入5,然后选择正确的单位(mL)
  • 单击“计算”按钮
  • 答案17.513 mg出现在“质量”框中。以类似的方式,您可以计算体积和浓度。

稀释计算器可计算如何稀释已知浓度的储备液。例如,可以输入C1、C2和V2来计算V1,具体如下:

制备25毫升25μM溶液需要多少体积的10 mM储备溶液?
使用方程式C1V1=C2V2,其中C1=10mM,C2=25μM,V2=25 ml,V1未知:
  • 在C1框中输入10,然后选择正确的单位(mM)
  • 在C2框中输入25,然后选择正确的单位(μM)
  • 在V2框中输入25,然后选择正确的单位(mL)
  • 单击“计算”按钮
  • 答案62.5μL(0.1 ml)出现在V1框中
g/mol

分子量计算器可计算化合物的分子量 (摩尔质量)和元素组成,具体如下:

注:化学分子式大小写敏感:C12H18N3O4  c12h18n3o4
计算化合物摩尔质量(分子量)的说明:
  • 要计算化合物的分子量 (摩尔质量),请输入化学/分子式,然后单击“计算”按钮。
分子质量、分子量、摩尔质量和摩尔量的定义:
  • 分子质量(或分子量)是一种物质的一个分子的质量,用统一的原子质量单位(u)表示。(1u等于碳-12中一个原子质量的1/12)
  • 摩尔质量(摩尔重量)是一摩尔物质的质量,以g/mol表示。
/

配液计算器可计算将特定质量的产品配成特定浓度所需的溶剂体积 (配液体积)

  • 输入试剂的质量、所需的配液浓度以及正确的单位
  • 单击“计算”按钮
  • 答案显示在体积框中
动物体内实验配方计算器(澄清溶液)
第一步:请输入基本实验信息(考虑到实验过程中的损耗,建议多配一只动物的药量)
第二步:请输入动物体内配方组成(配方适用于不溶/难溶于水的化合物),不同的产品和批次配方组成不同,如对配方有疑问,可先联系我们提供正确的体内实验配方。此外,请注意这只是一个配方计算器,而不是特定产品的确切配方。
+
+
+

计算结果:

工作液浓度 mg/mL;

DMSO母液配制方法 mg 药物溶于 μL DMSO溶液(母液浓度 mg/mL)。如该浓度超过该批次药物DMSO溶解度,请首先与我们联系。

体内配方配制方法μL DMSO母液,加入 μL PEG300,混匀澄清后加入μL Tween 80,混匀澄清后加入 μL ddH2O,混匀澄清。

(1) 请确保溶液澄清之后,再加入下一种溶剂 (助溶剂) 。可利用涡旋、超声或水浴加热等方法助溶;
            (2) 一定要按顺序加入溶剂 (助溶剂) 。

相关产品
联系我们