CL2A-SN-38

别名: CL2A-SN-38; CL2A-SN 38; CL2A-SN38; CL2ASN-38; CL2A SN 38; CL2ASN38; CL2A-SN38 DCA salt; CL2A-SN38 dichloroacetic acid.
目录号: V33342 纯度: ≥98%
CL2A-SN-38 是一种 SN-38(拓扑异构酶-I 抑制剂)类似物,是一种基于肽的药物接头,用于合成抗体药物偶联物 (ADC)。
CL2A-SN-38 CAS号: 1279680-68-0
产品类别: Drug-Linker Conjugates for ADC
产品仅用于科学研究,不针对患者销售
规格 价格 库存 数量
1mg
5mg
10mg
25mg
50mg
100mg
Other Sizes
点击了解更多
  • 与全球5000+客户建立关系
  • 覆盖全球主要大学、医院、科研院所、生物/制药公司等
  • 产品被大量CNS顶刊文章引用
InvivoChem产品被CNS等顶刊论文引用
纯度/质量控制文件

纯度: ≥98%

产品描述
CL2A-SN-38 是一种 SN-38(拓扑异构酶-I 抑制剂)类似物,是一种基于肽的药物接头,用于合成抗体药物偶联物 (ADC)。它由有效的 DNA 拓扑异构酶 I 抑制剂 SN-38 和连接子 CL2A 组成,可针对一组人类实体瘤提供显着且特异性的抗癌作用。 CL2A-SN-38 与抗 Trop-2 人源化抗体 SN-38-抗 Trop-2 抗体药物偶联物 (ADC) 结合,针对多种人类实体瘤类型,对一系列实体瘤提供显着且特异性的抗肿瘤作用人类实体瘤类型。
生物活性&实验参考方法
靶点
Camptothecins/DNA Topoisomerase I
CL2A-SN-38 is a derivative of SN-38, which is the active metabolite of the prodrug irinotecan (CPT-11). SN-38 functions as a topoisomerase I inhibitor. [1]
体外研究 (In Vitro)
将两种SN-38衍生物CL2-SN-38和CL2A-SN-38与抗Trop-2人源化抗体hRS7缀合。在体外对免疫偶联物的稳定性、结合性和细胞毒性进行了表征[1]。
体外细胞毒性研究表明,hRS7-CL2A-SN-38对几种不同的实体瘤系的IC50值在nM范围内(表1)。在所有细胞系中,游离SN-38的IC50均低于结合物。虽然Trop-2表达与对hRS7-CL2A-SN-38的敏感性之间没有相关性,但ADC与游离SN-38在Trop-2表达较高的细胞中的IC50比较低,这很可能反映了当存在更多抗原时药物内化能力的增强。
众所周知,SN-38可以激活细胞中的几种信号通路,导致细胞凋亡(34-37)。我们的初步研究在体外检测了参与早期信号事件的两种蛋白质(p21Waf1/Cip1和p53)和一种晚期凋亡事件(聚ADP核糖聚合酶(PARP)的切割)的表达(图2)。在BxPC-3中(图2A),SN-38导致p21Waf1/Cip1表达增加20倍,而hRS7-CL2A-SN-38仅导致10倍的增加,这一发现与该细胞系中游离SN-38的较高活性一致(表1)。然而,hRS7-CL2A-SN-38使Calu-3中p21Waf1/Cip1的表达比游离SN-38增加了2倍以上(图2B)。
在p53表达中观察到hRS7-CL2A-SN-38和游离SN-38介导的信号事件之间存在更大的差异。在BxPC-3和Calu-3中,游离SN-38对p53的上调直到48小时才明显,而hRS7-CL2A-SN-38在24小时内上调了p53。此外,与SN-38相比,暴露于ADC的细胞中p53的表达在两种细胞系中都更高。有趣的是,虽然hRS7-IgG对p21Waf1/Cip1的表达没有明显影响,但它确实诱导了BxPC-3和Calu-3中p53的上调,但仅在暴露48小时后。就后期凋亡事件而言,当与SN-38或偶联物一起孵育时,两种细胞系中PARP的切割都很明显(图2C)。BxPC-3中切割的PARP在24小时时更高,这与p21的高表达及其较低的IC50有关。与ADC相比,游离SN-38的切割程度更高,这与细胞毒性研究结果一致[1]。
CL2A-SN-38 衍生物与抗Trop-2抗体hRS7偶联形成抗体偶联药物 (ADC) hRS7-CL2A-SN-38。该偶联物对多种表达Trop-2的人实体瘤细胞系具有细胞毒性活性。[1]
hRS7-CL2A-SN-38 偶联物的体外血清稳定性半衰期 (t1/2) 约为 20 小时。[1]
hRS7-CL2A-SN-38 偶联物对Trop-2抗原的结合亲和力 (Kd) 约为 1.2 nM。[1]
hRS7-CL2A-SN-38 偶联物的平均药物偶联比约为 每个抗体分子 (IgG) 偶联6个SN-38分子。[1]
体内研究 (In Vivo)
在携带人结肠(COLO 205)或胰腺(Capan-1)肿瘤异种移植物的小鼠中,CL2A-SN-38联合抗Trop-2人源化抗体hRS7(腹膜内注射,0.2或0.4 mg/kg,每周两次, 4周)均能显着抑制肿瘤生长[1]。

hRS7-SN-38[1]的疗效
由于Trop-2在几种人类癌症中广泛表达,因此在几种不同的人类癌症模型中进行了研究,首先评估hRS7-CL2-SN-38连接,但后来使用了具有CL2A-连接的缀合物。与给予等量hLL2-CL2-SN-38的动物相比,每4天x 4次给予0.04 mg SN-38/kg hRS7-CL2-SN-35的Calu-3裸小鼠的反应显著改善(TV分别为0.14±0.22 cm3和0.80±0.91 cm3;AUC42天P<0.026)(图3A)。当剂量增加到0.4mg/kg SN-38时,观察到剂量反应。在这个更高的剂量水平下,所有给予特异性hRS7缀合物的小鼠在28天内“治愈”,并在研究第147天结束前保持无肿瘤状态,而用无关ADC治疗的动物体内肿瘤重新生长(特异性与无关AUC98天:P=0.05)。在接受hRS7-IgG和SN-38混合物的小鼠中,到第56天,肿瘤进展>4.5倍(TV=1.10±0.88cm3;AUC56天P<0.006,与hRS7-CL2-SN-38相比)。
还检查了人结肠(COLO 205)和胰腺(Capan-1)肿瘤异种移植物的疗效。在COLO 205荷瘤动物中(图3B),hRS7-CL2-SN-38(0.4 mg/kg,q4dx8)在28天的治疗期内阻止了肿瘤生长,与对照抗CD20 ADC(hA20-CL2-SN-38)或hRS7 IgG(TV分别为0.16±0.09 cm3、1.19±0.59 cm3和1.77±0.93 cm3;AUC28天P<0.016)相比,肿瘤明显较小。伊立替康的MTD(24 mg SN-38/kg,q2dx5)与hRS7-CL2-SN-38一样有效,因为小鼠血清可以比人血清更有效地将伊立替康转化为SN-38(38-41),但伊立替坎的SN-38剂量(累积2400μg)是结合物(总共64μg)的37.5倍。当以与hRS7-CL2-SN-38缀合物相当的SN-38剂量给药时,携带Capan-1的动物对单独使用伊立替康没有明显反应(例如,在第35天,给予0.4mg SN-38/kg hRS7-SN-38的动物的平均肿瘤大小为0.04±0.05cm3,而给予0.4mg/kg SN-38伊立替康治疗的动物的肿瘤大小为1.78±0.62cm3;AUCday35 P<0.001)(图3C)。当伊立替康剂量增加10倍至4 mg/kg SN-38时,反应有所改善,但仍不如0.4 mg/kg SN-318剂量水平的结合物显著(TV=0.17±0.18 cm3 vs.1.69±0.47 cm3,AUCday49 P<0.001)。与伊立替康治疗的动物相比,等剂量的非靶向hA20-CL2-SN-38也具有显著的抗肿瘤作用,但特异性hRS7结合物明显优于无关的ADC(TV=0.17±0.18 cm3 vs.0.80±0.68 cm3,AUCday49 P<0.018)。
然后将hRS7-CL2A-SN-38 ADC的研究扩展到另外两种人类上皮癌模型。在携带BxPC-3人胰腺肿瘤的小鼠中(图3D),与用生理盐水或等量的非靶向hA20-CL2A-SN-38治疗的对照小鼠相比,hRS7-CL2A-SN-38再次显著抑制了肿瘤生长(分别为TV=0.24±0.11 cm3对1.17±0.45 cm3和1.05±0.73 cm3;AUCday21 P<0.001),或以10倍的SN-38当量剂量给予伊立替康(分别为TV=0.27±0.18 cm3对0.90±0.62 cm3;AUCd ay25 P<0.004)。有趣的是,在用0.4 mg/kg ADC治疗的携带SK-MES-1人鳞状细胞肺肿瘤的小鼠中(图3E),肿瘤生长抑制优于生理盐水或未偶联的hRS7 IgG(TV=0.36±0.25 cm3对1.02±0.70 cm3和1.30±1.08 cm3;AUC28天,P<0.043),但非靶向hA20-CL2A-SN-38或伊立替康的MTD提供了与特异性hRS7-SN-38偶联物相同的抗肿瘤作用。
酶活实验
CL2A-SN-38(M.W.1480)及其hRS7缀合物的制备以及稳定性、结合和细胞毒性研究如前所述进行,并在补充数据中介绍。制备细胞裂解物,并如补充数据中所述进行p21Waf1/Cip、p53和PARP(聚ADP核糖聚合酶)的免疫印迹。浓度、时间和一次抗体如图例所示[1]。
细胞实验
本研究中使用的所有人类癌症细胞系均购自美国典型培养物保藏中心。其中包括Calu-3(非小细胞肺癌)、SK-MES-1(鳞状细胞肺癌),COLO205(结肠腺癌),Capan-1和BxPC-3(胰腺腺癌)以及PC-3(前列腺腺癌)。人源化RS7 IgG和对照人源化抗-CD20(hA20 IgG,veltuzumab)和抗-CD22(hLL2 IgG,依帕珠单抗)抗体在Immunomedics,股份有限公司制备。伊立替康(20 mg/mL)从Hospira,股份有限公司获得[1]。
细胞毒性实验 (ADC): 在体外评估了ADC (hRS7-CL2A-SN-38) 对多种人癌细胞系(如Calu-3、COLO 205、Capan-1、PC-3、SK-MES-1、BxPC-3)的细胞毒性活性。该ADC对所有测试细胞系的半数抑制浓度 (IC50) 值均在纳摩尔 (nM) 范围内。例如,对Calu-3细胞的IC50为9.97 nM,对COLO 205为1.95 nM,对Capan-1为6.99 nM,对PC-3为4.24 nM,对SK-MES-1为23.14 nM,对BxPC-3为4.03 nM。这些值以SN-38当量报告。在所有细胞系中,游离SN-38的IC50均低于ADC。[1]
作用机制研究 (ADC): 为研究信号通路,将BxPC-3和Calu-3细胞在6孔板中过夜培养。随后,用ADC hRS7-CL2A-SN-38(1 µM SN-38当量)、游离SN-38 (1 µM) 或裸抗hRS7 (25 µg/mL) 处理细胞指定的时间点(例如24、48小时)。处理后,裂解细胞。取裂解液中的蛋白质(每样品20 µg)通过SDS-PAGE(4-20%梯度胶)分离,并转膜进行Western blot分析。用针对p21Waf1/Cip1、p53、聚腺苷二磷酸核糖聚合酶 (PARP) 和β-肌动蛋白(内参)的特异性一抗进行孵育。相对于未处理的对照细胞,对蛋白表达水平进行可视化和定量,并标准化至β-肌动蛋白。研究表明,ADC诱导了p21和p53的上调以及PARP的裂解,表明细胞凋亡通路的激活。值得注意的是,在某些细胞系中,ADC诱导p53上调的时间点(24小时内)早于游离SN-38。[1]
动物实验
所有动物实验中,SN-38免疫偶联物和伊立替康的剂量均以SN-38当量表示。基于SN-38/IgG平均替代比为6,对20克小鼠给予500 μg ADC(25 mg/kg)相当于0.4 mg/kg SN-38。伊立替康的剂量同样以SN-38当量表示(即,40 mg/kg伊立替康相当于24 mg/kg SN-38)。
4-8周龄的NCr雌性无胸腺裸鼠(nu/nu)和10周龄的雄性Swiss-Webster小鼠购自Taconic Farms(纽约州日耳曼敦)。所有动物实验均已获得分子医学与免疫学中心机构动物护理和使用委员会(IACUC)的批准。耐受性研究由SNBL USA有限公司在食蟹猴(Macaca fascicularis;2.5–4 kg,雌雄均有)中进行,并已获得SNBL USA机构动物护理与使用委员会(IACUC)的批准。
按照补充信息中所述,将不同的人类癌细胞系皮下植入动物体内。使用游标卡尺测量肿瘤的二维尺寸来确定肿瘤体积(TV),体积定义为:L × w²/2,其中L为肿瘤的最长径,w为最短径。治疗开始时,肿瘤大小在0.10至0.47 cm³之间。治疗方案、剂量和每次实验的动物数量在结果部分进行了描述。冻干的hRS7-CL2A-SN-38和对照抗体药物偶联物(ADC)根据需要用无菌生理盐水进行复溶和稀释。除伊立替康(静脉注射)外,所有试剂均腹腔注射(0.1 mL)。给药方案参考了我们之前的研究,其中抗体药物偶联物(ADC)每4天或每周两次给药,持续时间不等。这种给药频率考虑了该偶联物在体外的血清半衰期,以便使患者能够更持续地暴露于ADC。
药代性质 (ADME/PK)
hRS7-CL2A-SN-38 的生物分布 [1]
在携带 SK-MES-1 人鳞状细胞肺癌异种移植瘤的小鼠中(补充表 S1),使用相应的 111In 标记底物,比较了 hRS7-CL2A-SN-38 或未偶联的 hRS7 IgG 的生物分布。进行药代动力学分析以确定 hRS7-CL2A-SN-38 相对于未偶联的 hRS7 的清除率(图 4A)。ADC 的清除速度比等量的未偶联 hRS7 更快,ADC 的半衰期和平均滞留时间缩短了约 40%。尽管如此,这对肿瘤摄取的影响很小(图 4B)。虽然在 24 小时和 48 小时时间点存在显著差异,但到 72 小时(摄取峰值)时,两种药物在肿瘤中的含量相似。在正常组织中,肝脏(图 4C)和脾脏(图 4D)的差异最为显著。注射后 24 小时,肝脏中 hRS7-CL2A-SN-38 的含量是 hRS7 IgG 的两倍以上。相反,在脾脏中,摄取高峰期(48 小时时间点)亲代 hRS7 IgG 的含量是 hRS7-CL2A-SN-38 的三倍。其余组织的摄取和清除情况通常反映了血液浓度的差异。
由于治疗采用每周两次给药方案,因此我们检测了一组动物的肿瘤摄取情况。这些动物在注射 111In 标记抗体前 3 天,先接受了 0.2 mg/kg(250 μg 蛋白)的 hRS7 ADC 预给药。与未接受预给药的小鼠相比,预给药小鼠的肿瘤对111In-hRS7-CL2A-SN-38的摄取在每个时间点均显著降低(例如,72小时时,预给药组肿瘤摄取为12.5 ± 3.8% ID/g,而未预给药组为25.4 ± 8.1% ID/g;P = 0.0123;图4E)。预给药对血液清除率或组织摄取无明显影响(补充表S2)。这些研究表明,在某些肿瘤模型中,先前给药可降低特定抗体在肿瘤中的聚集,这可能解释了为何随着抗体药物偶联物(ADC)剂量的增加,治疗反应的特异性会降低,以及为何不建议进一步增加剂量。
分布和清除(ADC):使用放射性标记的ADC,111In-DTPA-hRS7-CL2A-SN-38,在皮下移植SK-MES-1肿瘤的裸鼠中进行了生物分布和药代动力学研究。小鼠经静脉注射20 µCi(250 µg蛋白)放射性标记的ADC。在注射后的不同时间点,处死小鼠。收集血液、肿瘤和各种组织(例如肝脏、脾脏),称重,并通过γ闪烁计数法测量其放射性,以确定每克组织中注射剂量的百分比(%ID/g)。使用专用软件分析了血液清除的药代动力学参数。研究发现,与未偶联的hRS7抗体相比,ADC的血液清除速度更快,肝脏摄取量大约高出2倍,这归因于SN-38有效载荷的疏水性。ADC的肿瘤摄取量与裸抗体相似。预先给予未标记的ADC三天后,随后给予放射性标记的ADC的肿瘤摄取量降低,提示存在抗原饱和现象。[1]
毒性/毒理 (Toxicokinetics/TK)
在瑞士韦伯斯特小鼠和食蟹猴中对hRS7-CL2A-SN-38的耐受性[1]
瑞士韦伯斯特小鼠在三天内耐受了两次剂量的hRS7-CL2A-SN-38,每次剂量分别为4、8和12 mg/kg,体重仅有轻微的短暂下降(补充图S2)。未发生造血毒性,血清生化检查仅显示天冬氨酸转氨酶(AST)和丙氨酸转氨酶(ALT)升高(图5)。治疗7天后,所有三个治疗组的AST均升高至正常水平以上(>298 U/L)(图5A),其中2 × 8 mg/kg组的小鼠比例最高。然而,到治疗后15天,大多数动物的AST均恢复至正常范围。治疗7天内,ALT水平也高于正常范围(>77 U/L)(图5B),并在第15天恢复正常。所有这些小鼠的肝脏均未显示组织损伤的组织学证据(未显示)。肾功能方面,仅治疗组的葡萄糖和氯化物水平略有升高。在2 × 8 mg/kg剂量组中,7只小鼠中有5只出现轻度葡萄糖水平升高(范围为273至320 mg/dL,正常上限为263 mg/dL),并在注射后15天恢复正常。同样,在两个最高剂量组中,氯化物水平也略有升高,范围为116至127 mmol/L(正常上限为115 mmol/L)(2 × 8 mg/kg组为57%,2 × 12 mg/kg组为100%),并在注射后15天内持续升高。这也可能表明存在胃肠道毒性,因为大部分氯化物是通过肠道吸收获得的;然而,在实验结束时,所检查的任何器官系统均未发现组织损伤的组织学证据(未显示)。
由于小鼠不表达Trop-2,因此需要更合适的模型来确定hRS7缀合物在临床应用中的潜力。免疫组织化学研究显示,在人和食蟹猴的多种组织中均观察到了结合(乳腺、眼睛、胃肠道、肾脏、肺、卵巢、输卵管、胰腺、甲状旁腺、前列腺、唾液腺、皮肤、胸腺、甲状腺、扁桃体、输尿管、膀胱和子宫)(未显示)。基于这种交叉反应性,我们对猴子进行了耐受性研究。
接受 2 × 0.96 mg/kg SN-38 的 hRS7-CL2A-SN-38 组在输注后及研究结束前均未出现显著的临床事件。体重减轻不超过 7.3%,并在第 15 天恢复至适应期体重。大多数血细胞计数数据(中性粒细胞和血小板数据见图 5C 和 5D)出现短暂下降,但数值未低于正常范围。血清生化指标未见异常。在第 11 天(最后一次注射后 8 天)对动物进行尸检的组织病理学检查显示,造血器官(胸腺、下颌淋巴结和肠系膜淋巴结、脾脏和骨髓)、胃肠道器官(胃、十二指肠、空肠、回肠、盲肠、结肠和直肠)、雌性生殖器官(卵巢、子宫和阴道)以及注射部位均出现显微镜下的变化。这些变化程度从轻微到中度不等,在恢复期结束时(第32天)除胸腺和胃肠道外,所有组织均完全恢复,而胸腺和胃肠道在后期时间点也趋于完全恢复。
在2 × 1.92 mg SN-38/kg剂量组的偶联物组中,有一例死亡病例,死因是胃肠道并发症和骨髓抑制;该组其他动物也出现了类似但比2 × 0.96 mg/kg组更严重的副作用。这些数据表明,剂量限制性毒性与伊立替康相同,即肠道和血液系统毒性。因此,hRS7-CL2A-SN-38 的最大耐受剂量 (MTD) 为 2 × 0.96 至 1.92 mg SN-38/kg,相当于人体等效剂量为 2 × 0.3 至 0.6 mg/kg SN-38。
小鼠毒性 (ADC):在 Swiss-Webster 小鼠中评估了 ADC (hRS7-CL2A-SN-38) 的耐受性。小鼠接受两次腹腔注射,间隔三天,每次注射的 SN-38 等效剂量分别为 4、8 或 12 mg/kg(相当于每次注射 250、500 或 750 mg 偶联蛋白/kg)。对照组小鼠注射缓冲液。分别在末次注射后 7 天和 15 天采集血液和血清进行分析。治疗后7天内观察到肝酶(AST和ALT)短暂升高至正常范围以上,并在第15天恢复正常。未发现肝组织损伤的组织学证据。部分高剂量组还观察到血糖和氯化物水平轻度短暂升高。小鼠未观察到明显的血液学毒性。[1]
猴子毒性(抗体偶联药物):在食蟹猴(其组织中表达的Trop-2与人类相似)中进行了一项剂量递增耐受性研究。猴子接受两次间隔三天的静脉输注抗体偶联药物(hRS7-CL2A-SN-38),SN-38等效剂量分别为0.96 mg/kg/次或1.92 mg/kg/次。评估了临床观察、体重、血液学、血清化学和组织病理学指标。在较低剂量组(2 x 0.96 mg/kg SN-38当量)下,猴子仅出现轻微且可逆的毒性反应。观察到短暂的血细胞计数(中性粒细胞、血小板)下降,但数值未低于正常范围。血清生化指标未见明显异常。第11天(末次给药后8天)的组织病理学检查显示,造血器官、胃肠道和雌性生殖器官出现轻微至中度的改变,大多数组织在恢复期结束时(第32天)完全恢复。在较高剂量组(2 x 1.92 mg/kg SN-38当量)下,一只猴子因胃肠道并发症和骨髓抑制而死亡,其他动物出现更严重的不良反应。剂量限制性毒性(胃肠道和血液学毒性)与伊立替康相同。猴子的最大耐受剂量(MTD)估计介于 2 × 0.96 mg/kg 和 2 × 1.92 mg/kg SN-38 当量之间。[1]
参考文献

[1]. Humanized anti-Trop-2 IgG-SN-38 conjugate for effective treatment of diverse epithelial cancers: preclinical studies in human cancer xenograft models and monkeys. Clin Cancer Res. 2011 May 15;17(10):3157-69.

其他信息
目的:评估SN-38-抗Trop-2抗体药物偶联物(ADC)对多种人类实体瘤的疗效,并评估其在小鼠和猴子中的耐受性,其中猴子对hRS7的组织交叉反应性与人类相似。
实验设计:将两种SN-38衍生物CL2-SN-38和CL2A-SN-38与抗Trop-2人源化抗体hRS7偶联。在体外对免疫偶联物的稳定性、结合能力和细胞毒性进行表征。在五种表达Trop-2抗原的人类实体瘤异种移植模型中测试其疗效。在小鼠和食蟹猴中评估了毒性。
结果:两种SN-38衍生物的hRS7缀合物在药物替代率(~6)、细胞结合力(Kd ~ 1.2 nmol/L)、细胞毒性(IC50 ~ 2.2 nmol/L)和体外血清稳定性(t1/2 ~ 20小时)方面均相当。细胞暴露于抗体药物偶联物(ADC)后,检测到PARP裂解的信号通路,但与游离SN-38相比,p53和p21的表达上调存在差异。在荷瘤小鼠中,hRS7-SN-38 在无毒剂量下对 Calu-3 (P ≤ 0.05)、Capan-1 (P < 0.018)、BxPC-3 (P < 0.005) 和 COLO 205 (P < 0.033) 肿瘤均表现出显著的抗肿瘤作用,与非靶向对照抗体药物偶联物 (ADC) 相比,差异具有统计学意义。小鼠耐受 2 × 12 mg/kg 剂量(SN-38 当量),仅出现短暂的 ALT 和 AST 肝酶水平升高。食蟹猴输注 2 × 0.96 mg/kg 剂量后,仅出现短暂的血细胞计数下降,但重要的是,这些数值并未低于正常范围。
结论:抗 Trop-2 抗体药物偶联物 hRS7-CL2A-SN-38 对多种人类实体瘤具有显著且特异性的抗肿瘤作用。该化合物在猴子体内耐受性良好,在临床相关剂量下,其组织中 Trop-2 的表达与人类相似,值得进行临床研究。[1]
CL2A-SN-38 是拓扑异构酶 I 抑制剂 SN-38 的修饰衍生物,旨在通过可裂解连接子与抗体偶联,从而构建抗体药物偶联物 (ADC)。[1]
其结构与早期衍生物 CL2-SN-38 相关,但为了简化合成,从连接子区域去除了苯丙氨酸部分。与 CL2 版本相比,这种修饰并未对所得 ADC 的偶联效率、稳定性、结合亲和力或体内效力产生不利影响。[1]
据报道,CL2A-SN-38 衍生物的分子量为 1480 g/mol。 [1]
当与抗Trop-2抗体hRS7偶联时,所得抗体药物偶联物(ADC) (hRS7-CL2A-SN-38)在多种人源肿瘤异种移植小鼠模型(包括肺癌、胰腺癌和结直肠癌)中,于无毒剂量下均表现出显著且特异性的抗肿瘤疗效。[1]
该ADC的设计目的是在靶细胞内化和连接子裂解后,通过酸性溶酶体环境中对苄基碳酸酯键的pH敏感水解,而非通过组织蛋白酶B裂解,在靶细胞内释放SN-38。[1]
*注: 文献方法仅供参考, InvivoChem并未独立验证这些方法的准确性
化学信息 & 存储运输条件
分子式
C77H101CL4N11O26
分子量
1738.4960
精确质量
1479.68
元素分析
C, 53.20; H, 5.86; Cl, 8.16; N, 8.86; O, 23.93
CAS号
1279680-68-0
相关CAS号
1279680-68-0
PubChem CID
89983570
外观&性状
Light yellow to yellow solid powder
LogP
-0.1
tPSA
409Ų
氢键供体(HBD)数目
6
氢键受体(HBA)数目
26
可旋转键数目(RBC)
50
重原子数目
106
分子复杂度/Complexity
2930
定义原子立体中心数目
2
SMILES
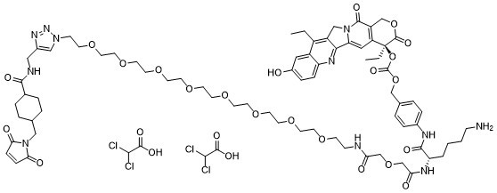
CCC1=C2CN3C(=CC4=C(C3=O)COC(=O)[C@@]4(CC)OC(=O)OCC5=CC=C(C=C5)NC(=O)[C@H](CCCCN)NC(=O)COCC(=O)NCCOCCOCCOCCOCCOCCOCCOCCOCCN6C=C(N=N6)CNC(=O)C7CCC(CC7)CN8C(=O)C=CC8=O)C2=NC9=C1C=C(C=C9)O
InChi Key
WWSNNYDLXHTRLZ-JGQYWRMXSA-N
InChi Code
InChI=1S/C73H97N11O22.2C2H2Cl2O2/c1-3-55-56-39-54(85)16-17-60(56)79-67-57(55)44-83-62(67)40-59-58(70(83)92)46-104-71(93)73(59,4-2)106-72(94)105-45-50-10-14-52(15-11-50)77-69(91)61(7-5-6-20-74)78-64(87)48-103-47-63(86)75-21-23-95-25-27-97-29-31-99-33-35-101-37-38-102-36-34-100-32-30-98-28-26-96-24-22-82-43-53(80-81-82)41-76-68(90)51-12-8-49(9-13-51)42-84-65(88)18-19-66(84)89;2*3-1(4)2(5)6/h10-11,14-19,39-40,43,49,51,61,85H,3-9,12-13,20-38,41-42,44-48,74H2,1-2H3,(H,75,86)(H,76,90)(H,77,91)(H,78,87);2*1H,(H,5,6)/t49?,51?,61-,73-;;/m0../s1
化学名
4-((S)-2-(4-aminobutyl)-35-(4-((4-((2,5-dioxo-2,5-dihydro-1H-pyrrol-1-yl)methyl)cyclohexane-1-carboxamido)methyl)-1H-1,2,3-triazol-1-yl)-4,8-dioxo-6,12,15,18,21,24,27,30,33-nonaoxa-3,9-diazapentatriacontanamido)benzyl ((S)-4,11-diethyl-9-hydroxy-3,14-dioxo-3,4,12,14-tetrahydro-1H-pyrano[3',4':6,7]indolizino[1,2-b]quinolin-4-yl) carbonate bis(2,2-dichloroacetate)
别名
CL2A-SN-38; CL2A-SN 38; CL2A-SN38; CL2ASN-38; CL2A SN 38; CL2ASN38; CL2A-SN38 DCA salt; CL2A-SN38 dichloroacetic acid.
HS Tariff Code
2934.99.9001
存储方式

Powder      -20°C    3 years

                     4°C     2 years

In solvent   -80°C    6 months

                  -20°C    1 month

注意: 请将本产品存放在密封且受保护的环境中(例如氮气保护),避免吸湿/受潮和光照。
运输条件
Room temperature (This product is stable at ambient temperature for a few days during ordinary shipping and time spent in Customs)
溶解度数据
溶解度 (体外实验)
DMSO : ~100 mg/mL (~67.54 mM)
溶解度 (体内实验)
配方 1 中的溶解度: 2.08 mg/mL (1.40 mM) in 10% DMSO + 40% PEG300 + 5% Tween80 + 45% Saline (这些助溶剂从左到右依次添加,逐一添加), 澄清溶液; 超声助溶。
例如,若需制备1 mL的工作液,可将100 μL 20.8 mg/mL澄清DMSO储备液加入400 μL PEG300中,混匀;然后向上述溶液中加入50 μL Tween-80,混匀;加入450 μL生理盐水定容至1 mL。
*生理盐水的制备:将 0.9 g 氯化钠溶解在 100 mL ddH₂O中,得到澄清溶液。

配方 2 中的溶解度: ≥ 2.08 mg/mL (1.40 mM) (饱和度未知) in 10% DMSO + 90% (20% SBE-β-CD in Saline) (这些助溶剂从左到右依次添加,逐一添加), 澄清溶液。
例如,若需制备1 mL的工作液,可将 100 μL 20.8 mg/mL澄清DMSO储备液加入900 μL 20% SBE-β-CD生理盐水溶液中,混匀。
*20% SBE-β-CD 生理盐水溶液的制备(4°C,1 周):将 2 g SBE-β-CD 溶解于 10 mL 生理盐水中,得到澄清溶液。

View More

配方 3 中的溶解度: ≥ 2.08 mg/mL (1.40 mM) (饱和度未知) in 10% DMSO + 90% Corn Oil (这些助溶剂从左到右依次添加,逐一添加), 澄清溶液。
例如,若需制备1 mL的工作液,可将 100 μL 20.8 mg/mL 澄清 DMSO 储备液加入到 900 μL 玉米油中并混合均匀。


配方 4 中的溶解度: 10% DMSO+ 40% PEG300+ 5% Tween-80+ 45% saline: 2.08 mg/mL (1.40 mM)

请根据您的实验动物和给药方式选择适当的溶解配方/方案:
1、请先配制澄清的储备液(如:用DMSO配置50 或 100 mg/mL母液(储备液));
2、取适量母液,按从左到右的顺序依次添加助溶剂,澄清后再加入下一助溶剂。以 下列配方为例说明 (注意此配方只用于说明,并不一定代表此产品 的实际溶解配方):
10% DMSO → 40% PEG300 → 5% Tween-80 → 45% ddH2O (或 saline);
假设最终工作液的体积为 1 mL, 浓度为5 mg/mL: 取 100 μL 50 mg/mL 的澄清 DMSO 储备液加到 400 μL PEG300 中,混合均匀/澄清;向上述体系中加入50 μL Tween-80,混合均匀/澄清;然后继续加入450 μL ddH2O (或 saline)定容至 1 mL;

3、溶剂前显示的百分比是指该溶剂在最终溶液/工作液中的体积所占比例;
4、 如产品在配制过程中出现沉淀/析出,可通过加热(≤50℃)或超声的方式助溶;
5、为保证最佳实验结果,工作液请现配现用!
6、如不确定怎么将母液配置成体内动物实验的工作液,请查看说明书或联系我们;
7、 以上所有助溶剂都可在 Invivochem.cn网站购买。
制备储备液 1 mg 5 mg 10 mg
1 mM 0.5752 mL 2.8760 mL 5.7521 mL
5 mM 0.1150 mL 0.5752 mL 1.1504 mL
10 mM 0.0575 mL 0.2876 mL 0.5752 mL

1、根据实验需要选择合适的溶剂配制储备液 (母液):对于大多数产品,InvivoChem推荐用DMSO配置母液 (比如:5、10、20mM或者10、20、50 mg/mL浓度),个别水溶性高的产品可直接溶于水。产品在DMSO 、水或其他溶剂中的具体溶解度详见上”溶解度 (体外)”部分;

2、如果您找不到您想要的溶解度信息,或者很难将产品溶解在溶液中,请联系我们;

3、建议使用下列计算器进行相关计算(摩尔浓度计算器、稀释计算器、分子量计算器、重组计算器等);

4、母液配好之后,将其分装到常规用量,并储存在-20°C或-80°C,尽量减少反复冻融循环。

计算器

摩尔浓度计算器可计算特定溶液所需的质量、体积/浓度,具体如下:

  • 计算制备已知体积和浓度的溶液所需的化合物的质量
  • 计算将已知质量的化合物溶解到所需浓度所需的溶液体积
  • 计算特定体积中已知质量的化合物产生的溶液的浓度
使用摩尔浓度计算器计算摩尔浓度的示例如下所示:
假如化合物的分子量为350.26 g/mol,在5mL DMSO中制备10mM储备液所需的化合物的质量是多少?
  • 在分子量(MW)框中输入350.26
  • 在“浓度”框中输入10,然后选择正确的单位(mM)
  • 在“体积”框中输入5,然后选择正确的单位(mL)
  • 单击“计算”按钮
  • 答案17.513 mg出现在“质量”框中。以类似的方式,您可以计算体积和浓度。

稀释计算器可计算如何稀释已知浓度的储备液。例如,可以输入C1、C2和V2来计算V1,具体如下:

制备25毫升25μM溶液需要多少体积的10 mM储备溶液?
使用方程式C1V1=C2V2,其中C1=10mM,C2=25μM,V2=25 ml,V1未知:
  • 在C1框中输入10,然后选择正确的单位(mM)
  • 在C2框中输入25,然后选择正确的单位(μM)
  • 在V2框中输入25,然后选择正确的单位(mL)
  • 单击“计算”按钮
  • 答案62.5μL(0.1 ml)出现在V1框中
g/mol

分子量计算器可计算化合物的分子量 (摩尔质量)和元素组成,具体如下:

注:化学分子式大小写敏感:C12H18N3O4  c12h18n3o4
计算化合物摩尔质量(分子量)的说明:
  • 要计算化合物的分子量 (摩尔质量),请输入化学/分子式,然后单击“计算”按钮。
分子质量、分子量、摩尔质量和摩尔量的定义:
  • 分子质量(或分子量)是一种物质的一个分子的质量,用统一的原子质量单位(u)表示。(1u等于碳-12中一个原子质量的1/12)
  • 摩尔质量(摩尔重量)是一摩尔物质的质量,以g/mol表示。
/

配液计算器可计算将特定质量的产品配成特定浓度所需的溶剂体积 (配液体积)

  • 输入试剂的质量、所需的配液浓度以及正确的单位
  • 单击“计算”按钮
  • 答案显示在体积框中
动物体内实验配方计算器(澄清溶液)
第一步:请输入基本实验信息(考虑到实验过程中的损耗,建议多配一只动物的药量)
第二步:请输入动物体内配方组成(配方适用于不溶/难溶于水的化合物),不同的产品和批次配方组成不同,如对配方有疑问,可先联系我们提供正确的体内实验配方。此外,请注意这只是一个配方计算器,而不是特定产品的确切配方。
+
+
+

计算结果:

工作液浓度 mg/mL;

DMSO母液配制方法 mg 药物溶于 μL DMSO溶液(母液浓度 mg/mL)。如该浓度超过该批次药物DMSO溶解度,请首先与我们联系。

体内配方配制方法μL DMSO母液,加入 μL PEG300,混匀澄清后加入μL Tween 80,混匀澄清后加入 μL ddH2O,混匀澄清。

(1) 请确保溶液澄清之后,再加入下一种溶剂 (助溶剂) 。可利用涡旋、超声或水浴加热等方法助溶;
            (2) 一定要按顺序加入溶剂 (助溶剂) 。

生物数据图片
  • Structure and characterization of SN-38 conjugates: hRS7-CL2-SN-38 and hRS7-CL2A-SN-38. [1].Clin Cancer Res. 2011 May 15;17(10):3157-69.
  • Western blot analysis for early and late signaling events mediated by hRS7-CL2A-SN-38. [1].Clin Cancer Res. 2011 May 15;17(10):3157-69.
  • Therapeutic efficacy of hRS7-SN-38 ADC in several solid tumor-xenograft disease models.[1].Clin Cancer Res. 2011 May 15;17(10):3157-69.
相关产品
联系我们