Mal-PEG2-VCP-Eribulin

别名: Mal-PEG2-VCP-Eribulin; 2130869-18-8; Mal-PEG2-VC-PAB-Eribulin;
目录号: V31666 纯度: ≥98%
Mal-PEG2-VCP-Eribulin 是一种药物-连接体缀合物,由 Mal-PEG2-VCP(ADC 连接体)和 Eribulin(一种高效有丝分裂/微管蛋白抑制剂,在 ADC 中用作弹头)组成。
Mal-PEG2-VCP-Eribulin CAS号: 2130869-18-8
产品类别: New2
产品仅用于科学研究,不针对患者销售
规格 价格 库存 数量
1mg
2mg
5mg
10mg
Other Sizes
点击了解更多
  • 与全球5000+客户建立关系
  • 覆盖全球主要大学、医院、科研院所、生物/制药公司等
  • 产品被大量CNS顶刊文章引用
InvivoChem产品被CNS等顶刊论文引用
产品描述
Mal-PEG2-VCP-Eribulin 是一种药物-连接体缀合物,由 Mal-PEG2-VCP(ADC 连接体)和 Eribulin(一种高效有丝分裂/微管蛋白抑制剂,在 ADC 中用作弹头)组成。艾日布林(E7389;E-7389;商品名 Halaven)是微管靶向剂(MTA),已被批准用于治疗转移性乳腺癌。 Mal-PEG2-VCP-Eribulin 用于构建抗体药物缀合物-ADC。
生物活性&实验参考方法
靶点
Tubulin polymerization; microtubule
参考文献

[1]. Eribulin-based antibody-drug conjugates and methods of use. US20170252458A1.

[2]. Eribulin induces irreversible mitotic blockade: implications\nof cell-based pharmacodynamics for in vivo efficacy under intermittent\ndosing conditions. Cancer Res. 2011 Jan 15;71(2):496-505.

其他信息
艾立布林 (E7389) 是一种作用机制独特的微管抑制剂,目前正处于癌症治疗的 III 期临床试验阶段。与效力更强的化合物 ER-076349 相比,艾立布林在体内表现出更优的疗效,而这种疗效差异并非由二者药代动力学性质不同所致。通过流式细胞术有丝分裂阻滞可逆性分析(采用全剂量/反应处理),我们观察到艾立布林(而非 ER-076349)诱导的有丝分裂阻滞是不可逆的,这提示了一种基于细胞的药效学解释。药物清除 5 天后,细胞活力分析证实了有丝分裂阻滞可逆性与细胞长期存活率之间的关系。在 U937、Jurkat、HL-60 和 HeLa 细胞中也观察到了类似的结果,排除了细胞类型特异性效应。对其他微管抑制剂的研究表明,有丝分裂阻滞可逆性是抗有丝分裂药物普遍存在的可量化的化合物特异性特征。 Bcl-2磷酸化模式与艾立布林和ER-076349的有丝分裂阻滞可逆性模式平行,提示持续的Bcl-2磷酸化是艾立布林不可逆阻滞后导致细胞长期存活率下降的原因之一。药物摄取和洗脱/滞留研究表明,[3H]艾立布林的细胞内积累水平低于[3H]ER-076349,但其滞留时间更长,且滞留水平更高。不可逆长春新碱和可逆长春碱也观察到了类似的结果,表明持续的细胞滞留是其不可逆性的一个组成部分。我们的研究结果表明,艾立布林在体内的优势源于其诱导不可逆有丝分裂阻滞的能力,而这种能力似乎与药物的持续滞留和Bcl-2的持续磷酸化有关。更广泛地说,我们的研究结果表明,抗有丝分裂药物的化合物特异性可逆性特征有助于细胞药效学和体内药代动力学之间的相互作用,从而决定间歇给药条件下的抗肿瘤疗效。[1]
*注: 文献方法仅供参考, InvivoChem并未独立验证这些方法的准确性
化学信息 & 存储运输条件
分子式
C70H99N7O21
分子量
1374.56938099861
精确质量
1373.689
CAS号
2130869-18-8
PubChem CID
138911392
外观&性状
White to off-white solid powder
LogP
0.9
tPSA
357
氢键供体(HBD)数目
7
氢键受体(HBA)数目
21
可旋转键数目(RBC)
27
重原子数目
98
分子复杂度/Complexity
2880
定义原子立体中心数目
21
SMILES
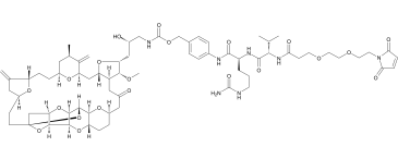
O1[C@@H]2C[C@@]34CC[C@H]5CC(=C)[C@H](CC[C@H]6C[C@@H](C)C(=C)[C@@H](C[C@H]7[C@@H]([C@H]([C@@H](C[C@@H](CNC(=O)OCC8C=CC(=CC=8)NC([C@H](CCCNC(N)=O)NC([C@H](C(C)C)NC(CCOCCOCCN8C(C=CC8=O)=O)=O)=O)=O)O)O7)OC)CC(C[C@H]7CC[C@H]8[C@@H]([C@@H]([C@H]1[C@H]([C@H]2O3)O8)O4)O7)=O)O6)O5
InChi Key
ODAGJGZILCZEBN-LHGNNKGASA-N
InChi Code
InChI=1S/C70H99N7O21/c1-37(2)59(76-56(80)20-24-88-26-27-89-25-23-77-57(81)17-18-58(77)82)67(84)75-49(8-7-22-72-68(71)85)66(83)74-42-11-9-41(10-12-42)36-90-69(86)73-35-44(79)32-54-60(87-6)48-31-43(78)30-46-14-16-51-61(93-46)65-64-63(95-51)62-55(96-64)34-70(97-62,98-65)21-19-47-29-39(4)50(91-47)15-13-45-28-38(3)40(5)52(92-45)33-53(48)94-54/h9-12,17-18,37-38,44-55,59-65,79H,4-5,7-8,13-16,19-36H2,1-3,6H3,(H,73,86)(H,74,83)(H,75,84)(H,76,80)(H3,71,72,85)/t38-,44+,45+,46-,47+,48+,49+,50+,51+,52-,53+,54-,55-,59+,60-,61+,62+,63+,64-,65+,70+/m1/s1
化学名
[4-[[(2S)-5-(carbamoylamino)-2-[[(2S)-2-[3-[2-[2-(2,5-dioxopyrrol-1-yl)ethoxy]ethoxy]propanoylamino]-3-methylbutanoyl]amino]pentanoyl]amino]phenyl]methyl N-[(2S)-2-hydroxy-3-[(1S,3S,6S,9S,12S,14R,16R,18S,20R,21R,22S,26R,29S,31R,32S,33R,35R,36S)-21-methoxy-14-methyl-8,15-dimethylidene-24-oxo-2,19,30,34,37,39,40,41-octaoxanonacyclo[24.9.2.13,32.13,33.16,9.112,16.018,22.029,36.031,35]hentetracontan-20-yl]propyl]carbamate
别名
Mal-PEG2-VCP-Eribulin; 2130869-18-8; Mal-PEG2-VC-PAB-Eribulin;
HS Tariff Code
2934.99.9001
存储方式

Powder      -20°C    3 years

                     4°C     2 years

In solvent   -80°C    6 months

                  -20°C    1 month

注意: (1). 本产品在运输和储存过程中需避光。  (2). 请将本产品存放在密封且受保护的环境中(例如氮气保护),避免吸湿/受潮。
运输条件
Room temperature (This product is stable at ambient temperature for a few days during ordinary shipping and time spent in Customs)
溶解度数据
溶解度 (体外实验)
DMSO : ≥ 10 mg/mL (~7.28 mM)
溶解度 (体内实验)
注意: 如下所列的是一些常用的体内动物实验溶解配方,主要用于溶解难溶或不溶于水的产品(水溶度<1 mg/mL)。 建议您先取少量样品进行尝试,如该配方可行,再根据实验需求增加样品量。

注射用配方
(IP/IV/IM/SC等)
注射用配方1: DMSO : Tween 80: Saline = 10 : 5 : 85 (如: 100 μL DMSO 50 μL Tween 80 850 μL Saline)
*生理盐水/Saline的制备:将0.9g氯化钠/NaCl溶解在100 mL ddH ₂ O中,得到澄清溶液。
注射用配方 2: DMSO : PEG300Tween 80 : Saline = 10 : 40 : 5 : 45 (如: 100 μL DMSO 400 μL PEG300 50 μL Tween 80 450 μL Saline)
注射用配方 3: DMSO : Corn oil = 10 : 90 (如: 100 μL DMSO 900 μL Corn oil)
示例: 注射用配方 3 (DMSO : Corn oil = 10 : 90) 为例说明, 如果要配制 1 mL 2.5 mg/mL的工作液, 您可以取 100 μL 25 mg/mL 澄清的 DMSO 储备液,加到 900 μL Corn oil/玉米油中, 混合均匀。
View More

注射用配方 4: DMSO : 20% SBE-β-CD in Saline = 10 : 90 [如:100 μL DMSO 900 μL (20% SBE-β-CD in Saline)]
*20% SBE-β-CD in Saline的制备(4°C,储存1周):将2g SBE-β-CD (磺丁基-β-环糊精) 溶解于10mL生理盐水中,得到澄清溶液。
注射用配方 5: 2-Hydroxypropyl-β-cyclodextrin : Saline = 50 : 50 (如: 500 μL 2-Hydroxypropyl-β-cyclodextrin (羟丙基环胡精) 500 μL Saline)
注射用配方 6: DMSO : PEG300 : Castor oil : Saline = 5 : 10 : 20 : 65 (如: 50 μL DMSO 100 μL PEG300 200 μL Castor oil 650 μL Saline)
注射用配方 7: Ethanol : Cremophor : Saline = 10: 10 : 80 (如: 100 μL Ethanol 100 μL Cremophor 800 μL Saline)
注射用配方 8: 溶解于Cremophor/Ethanol (50 : 50), 然后用生理盐水稀释。
注射用配方 9: EtOH : Corn oil = 10 : 90 (如: 100 μL EtOH 900 μL Corn oil)
注射用配方 10: EtOH : PEG300Tween 80 : Saline = 10 : 40 : 5 : 45 (如: 100 μL EtOH 400 μL PEG300 50 μL Tween 80 450 μL Saline)


口服配方
口服配方 1: 悬浮于0.5% CMC Na (羧甲基纤维素钠)
口服配方 2: 悬浮于0.5% Carboxymethyl cellulose (羧甲基纤维素)
示例: 口服配方 1 (悬浮于 0.5% CMC Na)为例说明, 如果要配制 100 mL 2.5 mg/mL 的工作液, 您可以先取0.5g CMC Na并将其溶解于100mL ddH2O中,得到0.5%CMC-Na澄清溶液;然后将250 mg待测化合物加到100 mL前述 0.5%CMC Na溶液中,得到悬浮液。
View More

口服配方 3: 溶解于 PEG400 (聚乙二醇400)
口服配方 4: 悬浮于0.2% Carboxymethyl cellulose (羧甲基纤维素)
口服配方 5: 溶解于0.25% Tween 80 and 0.5% Carboxymethyl cellulose (羧甲基纤维素)
口服配方 6: 做成粉末与食物混合


注意: 以上为较为常见方法,仅供参考, InvivoChem并未独立验证这些配方的准确性。具体溶剂的选择首先应参照文献已报道溶解方法、配方或剂型,对于某些尚未有文献报道溶解方法的化合物,需通过前期实验来确定(建议先取少量样品进行尝试),包括产品的溶解情况、梯度设置、动物的耐受性等。

请根据您的实验动物和给药方式选择适当的溶解配方/方案:
1、请先配制澄清的储备液(如:用DMSO配置50 或 100 mg/mL母液(储备液));
2、取适量母液,按从左到右的顺序依次添加助溶剂,澄清后再加入下一助溶剂。以 下列配方为例说明 (注意此配方只用于说明,并不一定代表此产品 的实际溶解配方):
10% DMSO → 40% PEG300 → 5% Tween-80 → 45% ddH2O (或 saline);
假设最终工作液的体积为 1 mL, 浓度为5 mg/mL: 取 100 μL 50 mg/mL 的澄清 DMSO 储备液加到 400 μL PEG300 中,混合均匀/澄清;向上述体系中加入50 μL Tween-80,混合均匀/澄清;然后继续加入450 μL ddH2O (或 saline)定容至 1 mL;

3、溶剂前显示的百分比是指该溶剂在最终溶液/工作液中的体积所占比例;
4、 如产品在配制过程中出现沉淀/析出,可通过加热(≤50℃)或超声的方式助溶;
5、为保证最佳实验结果,工作液请现配现用!
6、如不确定怎么将母液配置成体内动物实验的工作液,请查看说明书或联系我们;
7、 以上所有助溶剂都可在 Invivochem.cn网站购买。
制备储备液 1 mg 5 mg 10 mg
1 mM 0.7275 mL 3.6375 mL 7.2750 mL
5 mM 0.1455 mL 0.7275 mL 1.4550 mL
10 mM 0.0728 mL 0.3638 mL 0.7275 mL

1、根据实验需要选择合适的溶剂配制储备液 (母液):对于大多数产品,InvivoChem推荐用DMSO配置母液 (比如:5、10、20mM或者10、20、50 mg/mL浓度),个别水溶性高的产品可直接溶于水。产品在DMSO 、水或其他溶剂中的具体溶解度详见上”溶解度 (体外)”部分;

2、如果您找不到您想要的溶解度信息,或者很难将产品溶解在溶液中,请联系我们;

3、建议使用下列计算器进行相关计算(摩尔浓度计算器、稀释计算器、分子量计算器、重组计算器等);

4、母液配好之后,将其分装到常规用量,并储存在-20°C或-80°C,尽量减少反复冻融循环。

计算器

摩尔浓度计算器可计算特定溶液所需的质量、体积/浓度,具体如下:

  • 计算制备已知体积和浓度的溶液所需的化合物的质量
  • 计算将已知质量的化合物溶解到所需浓度所需的溶液体积
  • 计算特定体积中已知质量的化合物产生的溶液的浓度
使用摩尔浓度计算器计算摩尔浓度的示例如下所示:
假如化合物的分子量为350.26 g/mol,在5mL DMSO中制备10mM储备液所需的化合物的质量是多少?
  • 在分子量(MW)框中输入350.26
  • 在“浓度”框中输入10,然后选择正确的单位(mM)
  • 在“体积”框中输入5,然后选择正确的单位(mL)
  • 单击“计算”按钮
  • 答案17.513 mg出现在“质量”框中。以类似的方式,您可以计算体积和浓度。

稀释计算器可计算如何稀释已知浓度的储备液。例如,可以输入C1、C2和V2来计算V1,具体如下:

制备25毫升25μM溶液需要多少体积的10 mM储备溶液?
使用方程式C1V1=C2V2,其中C1=10mM,C2=25μM,V2=25 ml,V1未知:
  • 在C1框中输入10,然后选择正确的单位(mM)
  • 在C2框中输入25,然后选择正确的单位(μM)
  • 在V2框中输入25,然后选择正确的单位(mL)
  • 单击“计算”按钮
  • 答案62.5μL(0.1 ml)出现在V1框中
g/mol

分子量计算器可计算化合物的分子量 (摩尔质量)和元素组成,具体如下:

注:化学分子式大小写敏感:C12H18N3O4  c12h18n3o4
计算化合物摩尔质量(分子量)的说明:
  • 要计算化合物的分子量 (摩尔质量),请输入化学/分子式,然后单击“计算”按钮。
分子质量、分子量、摩尔质量和摩尔量的定义:
  • 分子质量(或分子量)是一种物质的一个分子的质量,用统一的原子质量单位(u)表示。(1u等于碳-12中一个原子质量的1/12)
  • 摩尔质量(摩尔重量)是一摩尔物质的质量,以g/mol表示。
/

配液计算器可计算将特定质量的产品配成特定浓度所需的溶剂体积 (配液体积)

  • 输入试剂的质量、所需的配液浓度以及正确的单位
  • 单击“计算”按钮
  • 答案显示在体积框中
动物体内实验配方计算器(澄清溶液)
第一步:请输入基本实验信息(考虑到实验过程中的损耗,建议多配一只动物的药量)
第二步:请输入动物体内配方组成(配方适用于不溶/难溶于水的化合物),不同的产品和批次配方组成不同,如对配方有疑问,可先联系我们提供正确的体内实验配方。此外,请注意这只是一个配方计算器,而不是特定产品的确切配方。
+
+
+

计算结果:

工作液浓度 mg/mL;

DMSO母液配制方法 mg 药物溶于 μL DMSO溶液(母液浓度 mg/mL)。如该浓度超过该批次药物DMSO溶解度,请首先与我们联系。

体内配方配制方法μL DMSO母液,加入 μL PEG300,混匀澄清后加入μL Tween 80,混匀澄清后加入 μL ddH2O,混匀澄清。

(1) 请确保溶液澄清之后,再加入下一种溶剂 (助溶剂) 。可利用涡旋、超声或水浴加热等方法助溶;
            (2) 一定要按顺序加入溶剂 (助溶剂) 。

相关产品
联系我们