Desertomycin A

别名: 沙漠霉素A;KERRIAMYCIN
目录号: V57795 纯度: ≥98%
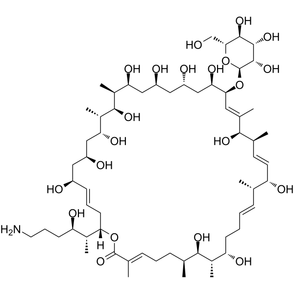
Desertomycin A 是一种含有大环内酯环的氨基多元醇聚酮化合物。
Desertomycin A CAS号: 121820-50-6
产品类别: Microorganisms
产品仅用于科学研究,不针对患者销售
规格 价格
1mg
Other Sizes
点击了解更多
  • 与全球5000+客户建立关系
  • 覆盖全球主要大学、医院、科研院所、生物/制药公司等
  • 产品被大量CNS顶刊文章引用
InvivoChem产品被CNS等顶刊论文引用
产品描述
Desertomycin A 是一种含有大环内酯环的氨基多元醇聚酮化合物。
生物活性&实验参考方法
参考文献

[1]. Ivanova V. New macrolactone of the desertomycin family from Streptomyces spectabilis Prep. Biochem Biotechnol. 1997 Feb;27(1):19-38.

[2]. An Amidinohydrolase Provides the Missing Link in the Biosynthesis of Amino Marginolactone Antibiotics. Angew Chem Int Ed Engl. 2016 Jan 18;55(3):1118-23.

其他信息
(7S,8R,9S,10S,15S,16S,19S,20R,23S,24R,26S,28S,30S,31S,32R,33S,34R,36S,38S,42S)-42-[(2R,3R)-6-氨基-3-羟基己-2-基]-8,10,16,20,24,26,28,30,32,34,36,38-十二碳烯酸据报道,在 Streptomyces hiroshimensis 中发现了 ahydroxy-3,7,9,15,19,21,31,33-octamethyl-23-[(2S,3S,4S,5S,6R)-3,4,5-trihydroxy-6-(hydroxymethyl)oxan-2-yl]oxy-1-oxacyclodotetraconta-3,13,17,21,39-penten-2-one,并有相关数据。
*注: 文献方法仅供参考, InvivoChem并未独立验证这些方法的准确性
化学信息 & 存储运输条件
分子式
C61H109NO21
分子量
1192.51
精确质量
1191.75
CAS号
121820-50-6
PubChem CID
132472920
外观&性状
Typically exists as solid at room temperature
LogP
1.142
tPSA
414.69
氢键供体(HBD)数目
18
氢键受体(HBA)数目
22
可旋转键数目(RBC)
8
重原子数目
83
分子复杂度/Complexity
1960
定义原子立体中心数目
27
SMILES
O[C@H]1[C@@H](C)[C@@H](C[C@H](C[C@@H](C=CC[C@@H]([C@H](C)[C@@H](CCCN)O)OC(C(C)=CCC[C@H](C)[C@H]([C@@H](C)[C@H](CCC=C[C@H](C)[C@H](C=C[C@H](C)[C@H](C(C)=C[C@@H]([C@@H](C[C@H](C[C@@H](C[C@@H]([C@@H]1C)O)O)O)O)O[C@@H]1[C@H]([C@H]([C@@H]([C@@H](CO)O1)O)O)O)O)O)O)O)=O)O)O)O
InChi Key
FKPDQSQJNFFSAS-BMFWIKAISA-N
InChi Code
InChI=1S/C61H109NO21/c1-32-15-10-11-19-47(70)38(7)55(75)33(2)16-12-17-35(4)60(80)81-51(37(6)46(69)20-14-24-62)21-13-18-41(64)26-42(65)28-48(71)39(8)56(76)40(9)49(72)29-43(66)27-44(67)30-50(73)52(25-36(5)54(74)34(3)22-23-45(32)68)82-61-59(79)58(78)57(77)53(31-63)83-61/h10,13,15,17-18,22-23,25,32-34,37-59,61,63-79H,11-12,14,16,19-21,24,26-31,62H2,1-9H3/t32-,33-,34-,37+,38-,39-,40-,41+,42-,43-,44-,45-,46+,47-,48+,49-,50+,51-,52-,53+,54+,55+,56-,57+,58-,59-,61-/m0/s1
化学名
(7S,8R,9S,10S,15S,16S,19S,20R,23S,24R,26S,28S,30S,31S,32R,33S,34R,36S,38S,42S)-42-[(2R,3R)-6-amino-3-hydroxyhexan-2-yl]-8,10,16,20,24,26,28,30,32,34,36,38-dodecahydroxy-3,7,9,15,19,21,31,33-octamethyl-23-[(2S,3S,4S,5S,6R)-3,4,5-trihydroxy-6-(hydroxymethyl)oxan-2-yl]oxy-1-oxacyclodotetraconta-3,13,17,21,39-pentaen-2-one
HS Tariff Code
2934.99.9001
存储方式

Powder      -20°C    3 years

                     4°C     2 years

In solvent   -80°C    6 months

                  -20°C    1 month

运输条件
Room temperature (This product is stable at ambient temperature for a few days during ordinary shipping and time spent in Customs)
溶解度数据
溶解度 (体外实验)
May dissolve in DMSO (in most cases), if not, try other solvents such as H2O, Ethanol, or DMF with a minute amount of products to avoid loss of samples
溶解度 (体内实验)
注意: 如下所列的是一些常用的体内动物实验溶解配方,主要用于溶解难溶或不溶于水的产品(水溶度<1 mg/mL)。 建议您先取少量样品进行尝试,如该配方可行,再根据实验需求增加样品量。

注射用配方
(IP/IV/IM/SC等)
注射用配方1: DMSO : Tween 80: Saline = 10 : 5 : 85 (如: 100 μL DMSO 50 μL Tween 80 850 μL Saline)
*生理盐水/Saline的制备:将0.9g氯化钠/NaCl溶解在100 mL ddH ₂ O中,得到澄清溶液。
注射用配方 2: DMSO : PEG300Tween 80 : Saline = 10 : 40 : 5 : 45 (如: 100 μL DMSO 400 μL PEG300 50 μL Tween 80 450 μL Saline)
注射用配方 3: DMSO : Corn oil = 10 : 90 (如: 100 μL DMSO 900 μL Corn oil)
示例: 注射用配方 3 (DMSO : Corn oil = 10 : 90) 为例说明, 如果要配制 1 mL 2.5 mg/mL的工作液, 您可以取 100 μL 25 mg/mL 澄清的 DMSO 储备液,加到 900 μL Corn oil/玉米油中, 混合均匀。
View More

注射用配方 4: DMSO : 20% SBE-β-CD in Saline = 10 : 90 [如:100 μL DMSO 900 μL (20% SBE-β-CD in Saline)]
*20% SBE-β-CD in Saline的制备(4°C,储存1周):将2g SBE-β-CD (磺丁基-β-环糊精) 溶解于10mL生理盐水中,得到澄清溶液。
注射用配方 5: 2-Hydroxypropyl-β-cyclodextrin : Saline = 50 : 50 (如: 500 μL 2-Hydroxypropyl-β-cyclodextrin (羟丙基环胡精) 500 μL Saline)
注射用配方 6: DMSO : PEG300 : Castor oil : Saline = 5 : 10 : 20 : 65 (如: 50 μL DMSO 100 μL PEG300 200 μL Castor oil 650 μL Saline)
注射用配方 7: Ethanol : Cremophor : Saline = 10: 10 : 80 (如: 100 μL Ethanol 100 μL Cremophor 800 μL Saline)
注射用配方 8: 溶解于Cremophor/Ethanol (50 : 50), 然后用生理盐水稀释。
注射用配方 9: EtOH : Corn oil = 10 : 90 (如: 100 μL EtOH 900 μL Corn oil)
注射用配方 10: EtOH : PEG300Tween 80 : Saline = 10 : 40 : 5 : 45 (如: 100 μL EtOH 400 μL PEG300 50 μL Tween 80 450 μL Saline)


口服配方
口服配方 1: 悬浮于0.5% CMC Na (羧甲基纤维素钠)
口服配方 2: 悬浮于0.5% Carboxymethyl cellulose (羧甲基纤维素)
示例: 口服配方 1 (悬浮于 0.5% CMC Na)为例说明, 如果要配制 100 mL 2.5 mg/mL 的工作液, 您可以先取0.5g CMC Na并将其溶解于100mL ddH2O中,得到0.5%CMC-Na澄清溶液;然后将250 mg待测化合物加到100 mL前述 0.5%CMC Na溶液中,得到悬浮液。
View More

口服配方 3: 溶解于 PEG400 (聚乙二醇400)
口服配方 4: 悬浮于0.2% Carboxymethyl cellulose (羧甲基纤维素)
口服配方 5: 溶解于0.25% Tween 80 and 0.5% Carboxymethyl cellulose (羧甲基纤维素)
口服配方 6: 做成粉末与食物混合


注意: 以上为较为常见方法,仅供参考, InvivoChem并未独立验证这些配方的准确性。具体溶剂的选择首先应参照文献已报道溶解方法、配方或剂型,对于某些尚未有文献报道溶解方法的化合物,需通过前期实验来确定(建议先取少量样品进行尝试),包括产品的溶解情况、梯度设置、动物的耐受性等。

请根据您的实验动物和给药方式选择适当的溶解配方/方案:
1、请先配制澄清的储备液(如:用DMSO配置50 或 100 mg/mL母液(储备液));
2、取适量母液,按从左到右的顺序依次添加助溶剂,澄清后再加入下一助溶剂。以 下列配方为例说明 (注意此配方只用于说明,并不一定代表此产品 的实际溶解配方):
10% DMSO → 40% PEG300 → 5% Tween-80 → 45% ddH2O (或 saline);
假设最终工作液的体积为 1 mL, 浓度为5 mg/mL: 取 100 μL 50 mg/mL 的澄清 DMSO 储备液加到 400 μL PEG300 中,混合均匀/澄清;向上述体系中加入50 μL Tween-80,混合均匀/澄清;然后继续加入450 μL ddH2O (或 saline)定容至 1 mL;

3、溶剂前显示的百分比是指该溶剂在最终溶液/工作液中的体积所占比例;
4、 如产品在配制过程中出现沉淀/析出,可通过加热(≤50℃)或超声的方式助溶;
5、为保证最佳实验结果,工作液请现配现用!
6、如不确定怎么将母液配置成体内动物实验的工作液,请查看说明书或联系我们;
7、 以上所有助溶剂都可在 Invivochem.cn网站购买。
制备储备液 1 mg 5 mg 10 mg
1 mM 0.8386 mL 4.1928 mL 8.3857 mL
5 mM 0.1677 mL 0.8386 mL 1.6771 mL
10 mM 0.0839 mL 0.4193 mL 0.8386 mL

1、根据实验需要选择合适的溶剂配制储备液 (母液):对于大多数产品,InvivoChem推荐用DMSO配置母液 (比如:5、10、20mM或者10、20、50 mg/mL浓度),个别水溶性高的产品可直接溶于水。产品在DMSO 、水或其他溶剂中的具体溶解度详见上”溶解度 (体外)”部分;

2、如果您找不到您想要的溶解度信息,或者很难将产品溶解在溶液中,请联系我们;

3、建议使用下列计算器进行相关计算(摩尔浓度计算器、稀释计算器、分子量计算器、重组计算器等);

4、母液配好之后,将其分装到常规用量,并储存在-20°C或-80°C,尽量减少反复冻融循环。

计算器

摩尔浓度计算器可计算特定溶液所需的质量、体积/浓度,具体如下:

  • 计算制备已知体积和浓度的溶液所需的化合物的质量
  • 计算将已知质量的化合物溶解到所需浓度所需的溶液体积
  • 计算特定体积中已知质量的化合物产生的溶液的浓度
使用摩尔浓度计算器计算摩尔浓度的示例如下所示:
假如化合物的分子量为350.26 g/mol,在5mL DMSO中制备10mM储备液所需的化合物的质量是多少?
  • 在分子量(MW)框中输入350.26
  • 在“浓度”框中输入10,然后选择正确的单位(mM)
  • 在“体积”框中输入5,然后选择正确的单位(mL)
  • 单击“计算”按钮
  • 答案17.513 mg出现在“质量”框中。以类似的方式,您可以计算体积和浓度。

稀释计算器可计算如何稀释已知浓度的储备液。例如,可以输入C1、C2和V2来计算V1,具体如下:

制备25毫升25μM溶液需要多少体积的10 mM储备溶液?
使用方程式C1V1=C2V2,其中C1=10mM,C2=25μM,V2=25 ml,V1未知:
  • 在C1框中输入10,然后选择正确的单位(mM)
  • 在C2框中输入25,然后选择正确的单位(μM)
  • 在V2框中输入25,然后选择正确的单位(mL)
  • 单击“计算”按钮
  • 答案62.5μL(0.1 ml)出现在V1框中
g/mol

分子量计算器可计算化合物的分子量 (摩尔质量)和元素组成,具体如下:

注:化学分子式大小写敏感:C12H18N3O4  c12h18n3o4
计算化合物摩尔质量(分子量)的说明:
  • 要计算化合物的分子量 (摩尔质量),请输入化学/分子式,然后单击“计算”按钮。
分子质量、分子量、摩尔质量和摩尔量的定义:
  • 分子质量(或分子量)是一种物质的一个分子的质量,用统一的原子质量单位(u)表示。(1u等于碳-12中一个原子质量的1/12)
  • 摩尔质量(摩尔重量)是一摩尔物质的质量,以g/mol表示。
/

配液计算器可计算将特定质量的产品配成特定浓度所需的溶剂体积 (配液体积)

  • 输入试剂的质量、所需的配液浓度以及正确的单位
  • 单击“计算”按钮
  • 答案显示在体积框中
动物体内实验配方计算器(澄清溶液)
第一步:请输入基本实验信息(考虑到实验过程中的损耗,建议多配一只动物的药量)
第二步:请输入动物体内配方组成(配方适用于不溶/难溶于水的化合物),不同的产品和批次配方组成不同,如对配方有疑问,可先联系我们提供正确的体内实验配方。此外,请注意这只是一个配方计算器,而不是特定产品的确切配方。
+
+
+

计算结果:

工作液浓度 mg/mL;

DMSO母液配制方法 mg 药物溶于 μL DMSO溶液(母液浓度 mg/mL)。如该浓度超过该批次药物DMSO溶解度,请首先与我们联系。

体内配方配制方法μL DMSO母液,加入 μL PEG300,混匀澄清后加入μL Tween 80,混匀澄清后加入 μL ddH2O,混匀澄清。

(1) 请确保溶液澄清之后,再加入下一种溶剂 (助溶剂) 。可利用涡旋、超声或水浴加热等方法助溶;
            (2) 一定要按顺序加入溶剂 (助溶剂) 。

相关产品
联系我们